5.4.2 Interface sol-atmosphère et flux turbulents

Quelques généralités :

On paramètre ici l'effet des mouvements turbulents qui contribuent à échanger entre le sol et l'atmosphère de la quantité de mouvement par frottement, de la chaleur par transfert de chaleur sensible et de la vapeur d'eau par évaporation.
La couche limite atmosphérique ( CLA ), siège de ces mouvements turbulents et comprise entre le sol et 1500 mètres, peut être divisée en deux :
- la couche limite de surface ( CLS ) où les effets de la force de Coriolis sont négligeables ; elle est de hauteur variable entre 50 et 100 mètres.
- la couche limite planétaire ( CLP ) au-dessus, où il faudra prendre en compte les effets de la force de Coriolis.

Les échanges turbulents sont caractérisés par des flux turbulents verticaux ( pour le vent, la température potentielle et la vapeur d'eau ), flux qui s'écrivent sous la forme:

On utilise une moyenne pondérée par la masse et des flux orientés selon p. On rappelle que chaque variable peut être décomposée en la somme de sa valeur moyenne et de sa fluctuation turbulente :

La paramétrisation de la couche limite consiste donc à déterminer les valeurs de ces flux turbulents au sol, dans la CLS et dans la CLP, flux qui tendent à homogénéiser les valeurs moyennes calculées dynamiquement du vent, de l'humidité et de l'énergie statique sèche.

5.4.2.1 flux de surface

On s'intéresse ici à la paramétrisation des flux turbulents dans la couche limite de surface, c'est-à-dire entre la surface et le niveau le plus bas du modèle.

On fait appel à une formulation en coefficients de transfert, basée sur la théorie de similitude de Monin-Obukhov.
Connaissant l'altitude ZN du niveau le plus bas du modèle, les flux cinématiques turbulents s'expriment en fonction des gradients par l'intermédiaire de coefficients sous la forme suivante :


s indice de contact de l'air avec le sol.
Cd/h coefficient d'échange en surface ( sans dimension ).


On définit alors les vitesses u* et énergie statique sèche s* de friction au sol à partir des flux turbulents par:

La théorie de similitude spécifie que les gradients locaux dans la couche de surface sont reliés aux flux par l'intermédiaire de fonctions universelles déterminées expérimentalement.

On a une relation similaire pour l'humidité spécifique q.


Cette formulation analytique s'exprime de la façon suivante :

- pour les composantes du vent :


- pour la température et l'humidité


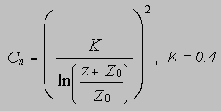
Les courbes sont tracées avec z + Z0 / Z0 = 5500

Un point important de ce schéma est la dépendance de l'expression des flux avec la stabilité verticale de l'atmosphère, le cisaillement de vent et la longueur de rugosité.

5.4.2.2 flux dans la CLP

Dans la Couche Limite Planétaire, les flux sont paramétrés en utilisant une formulation en coefficients d'échange turbulent:

K ( en m²/s ) caractérise l'intensité des échanges turbulents; il est fonction de la stabilité verticale de l'atmosphère par l'intermédiaire du nombre de Richardson, du cisaillement de vent et d'une longueur de mélange L. L'expression de K est tirée de la théorie de Prandtl :

Cette longueur est interprétable comme la distance moyenne que parcourt une particule d'air atmosphérique sous l'effet de jets aléatoires verticaux. L prend la valeur LT ( longueur de mélange pour l'énergie ) ou LU ( longueur de mélange pour la quantité de mouvement ). Le profil vertical de L est fonction de trois paramètres lambda, I et ß.

La formulation analytique de f s'exprime de la façon suivante :

- pour les composantes du vent

- pour la température et l'humidité

Cette formulation permet d'assurer la continuité avec les flux définis dans la couche limite de surface.

Calcul du nombre de Richardson et paramétrisation de la convection peu profonde :


en tenant compte:
- de l'influence de l'humidité sur la flottabilité ( paragraphe précédent ).
- si la convection peu profonde est activée, on utilise un nombre de Richardson modifié Ri* ( en cas d'instabilité potentielle ).

En effet, le nombre de Richardson tel que défini précédemment, est calculé de façon "sèche" ( utilisation de s énergie statique sèche ). Ce type de schéma convient tant qu'il n'y a pas de nuages ( au sommet de la couche planétaire au-dessous de l'inversion ). Mais en cas de convection peu profonde, des défauts apparaissent : la couche limite devient de plus en plus humide, l'atmosphère libre de plus en plus sèche soit une accumulation de l'humidité dans les basses couches.

5.4.2.3 évolution des paramètres de surface

La mise en oeuvre de la diffusion verticale suppose que l'on connait les valeurs des paramètres au sol ( température et humidité ).

Si on se trouve sur mer
- la température de surface est la température de surface de la mer ( SST )
- et qs = qsat ( Tmer, ps ), la disponibilité en eau est maximale.

Si on se situe sur un point de terre
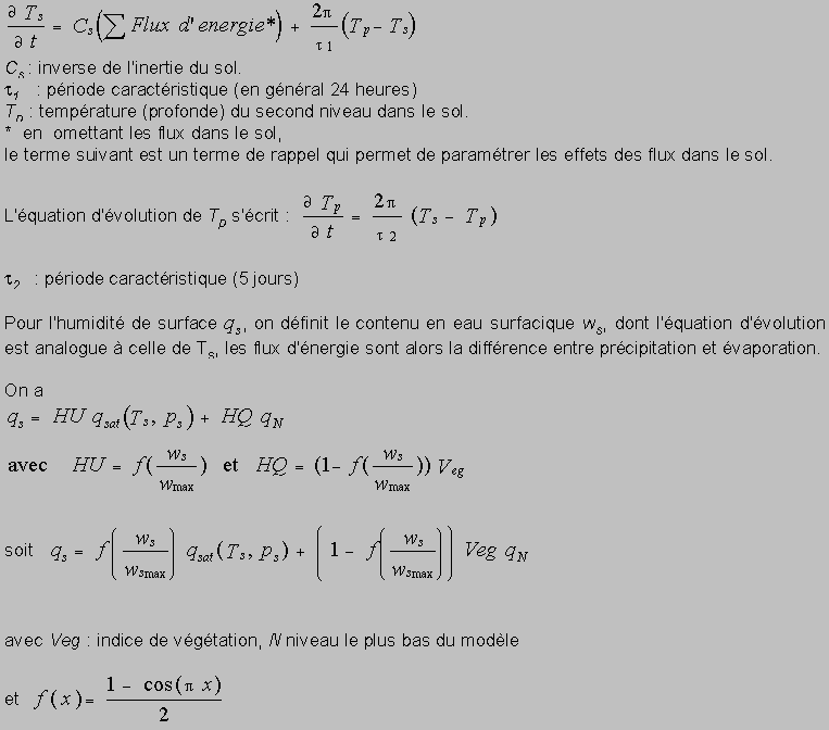
Le sol est divisé en deux couches : l'une superficielle d'épaisseur tendant vers 0, l'autre profonde. Ce découpage permet de tenir compte à la fois de la variation rapide des caractéristiques physiques de la surface au contact direct de l'atmosphère ainsi que du réservoir potentiel ( en eau et chaleur ) que représente la terre plus profonde. La température de la couche superficielle répond au forçage diurne de l'ensoleillement alors que la couche profonde a une constante de temps plus longue, prise égale à 5 jours. La couche profonde joue également le rôle de "réservoir-déversoir" d'eau : en effet un transfert s'opère de la couche proportionnellement la plus humide vers la moins humide jusqu'à équilibre. Les quantités maximales d'eau pouvant être contenues dans le sol sont :
- 20 Kg/m² ( réservoir de surface ) pour la couche supérieure
- 100 Kg/m² ( réservoir profond ) pour la couche profonde.

La température de surface du sol évolue en fonction des divers flux, l'équation d'évolution de Ts s'écrit

PAGE PRECEDENTE PAGE SUIVANTE